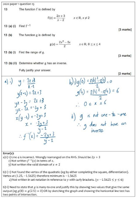
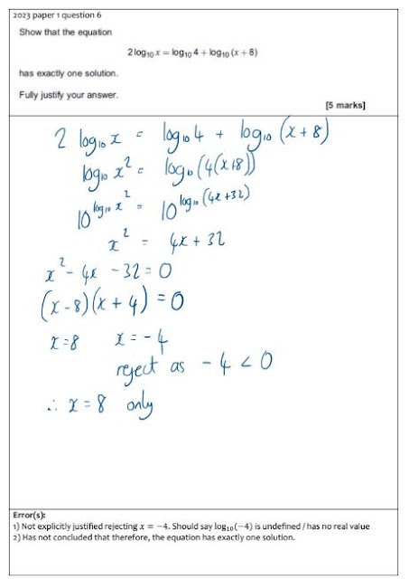
1. Make it Full Marks
@acutelearning shared a great resource called ‘Aiming for A*: Make it full marks’. This is an A level resource made using AQA papers but is relevant for other exam boards too.
In this resource students are presented with partially correct answers. Each answer is worth some or most of the marks. However, in each case there’s at least one error or missing component that means the answer will not receive full marks. Students have to find the error and correct the answer to make it full marks. This is a lovely revision resource to use in a summer term lesson with A level mathematicians.
@jim-hardy has shared his website mrhardymaths.co.uk which contains question banks for GCSE, A Level and A Level Further Maths. There’s a search box to help you find relevant questions:
Opening one of the topics let you practice this skill on screen with students:
Clicking print gives you a worksheet with answers:
Maths teacher Neil Kendall has developed a free resource Graphiti to easily demonstrate calculus concepts graphically. As well as functioning like Desmos you can very easily use interactive tangents and normals, calculate definite integrals, illustrate area between two curves and show numerical integration interactively – switching between trapezium, Simpsons and mid-ordinate methods. It will work with cartesian (implicit and explicit) as well as polar and parametric equations. It works on desktop, mobile and tablet devices.
Here’s a short video demonstrating many of its features:
4. Mr Chapman Maths
There’s also a fun game called Target 1000. You randomly generate a digit and place it in the column addition with a target of 1000. Have a go!
There are also a lot of resources on this website for teaching Decision Maths.
@draustinmaths continues to share fantastic new resources. Recent additions include Hyperbolic Functions for Further Maths, Exponentials and Logs and 3D Vectors for A Level Maths, and Volume and Surface Area of Compound Shapes.
Update
In other news, a teacher on Bluesky asked a question about treasury tagging books and I made a quick video for her (I recorded it in a rush before school, so it’s not the best thing I’ve made! Please don’t judge…!). In this video I show the layout of our A4+ exercise books and the way we set up our treasury tags. I know a lot of teachers complain that their exercise books are a mess so you might be interested in what we do.
I attended an Inset Day last week where I went to three excellent sessions: a workshop on the CG100 which was delivered by Simon May from Casio, a workshop on A level marking delivered by Isobel Oakley from Pearson, and a workshop on university admissions tests delivered by Alexandra Hewitt from MEI. I’ve been to so many conference in the last twelve years it’s sometimes hard for me to find sessions that are relevant and useful that I haven’t been to before, but on this occasion all three workshops were genuinely helpful. Alexandra said something in her session that really struck me – she talked about who we should encourage to do maths degrees and it occurred to me that I only think of maths degrees as being suitable for the very best mathematicians. But a student could be on a Grade B or C in A level maths and it’s their strongest or favourite subject, and maybe one day they’d make an excellent maths teacher. These are the students that I should be encouraging to take a maths degree. I don’t do enough of this. This gave me something to think about.
Here’s a photo of part of my team on the way home from our post-conference drinks. There were eight of us earlier in the day but we forgot to take a picture. I love my team – a group of absolute legends who support each other every day and work incredibly hard to make sure every child succeeds.
View the original article and our Inspiration here



